我相信有不少刚入这一行的开发童鞋,在面对一个需求时,通常没有多加思考,撸起袖子就直接开干。看似大神级别的一顿操作猛如虎,一看代码惨不忍睹。究其根源,是因为缺少分析与设计,导致在开发过程中逻辑不清,头脑混乱,开发出的代码质量堪忧,BUG层出不穷。
万丈高楼平地起,这离不开工程师精心设计的图纸。写代码,也是这样一个道理。
我做了多年开发,每次写关键业务时我都会梳理清思路,画好流程图,由于工作效率提高了,所以平时可以很快提测,按时下班,这个好习惯让我受益终身。
画流程图的工具有很多,我这里给大家推荐一款在线工具ProcessOn。具体使用方法大家自行百度了,我这里就不再赘述。
最近1年我在学习小游戏开发,我一直坚持这个习惯,不管是企业开发,还是游戏开发,我觉得万变不离其宗,画好流程图都至关重要。每天下班后开发2个小时,用了1个月成功上线了一款小游戏。在这里给大家分享一些开发经验,也希望大家对我的游戏给点支持。

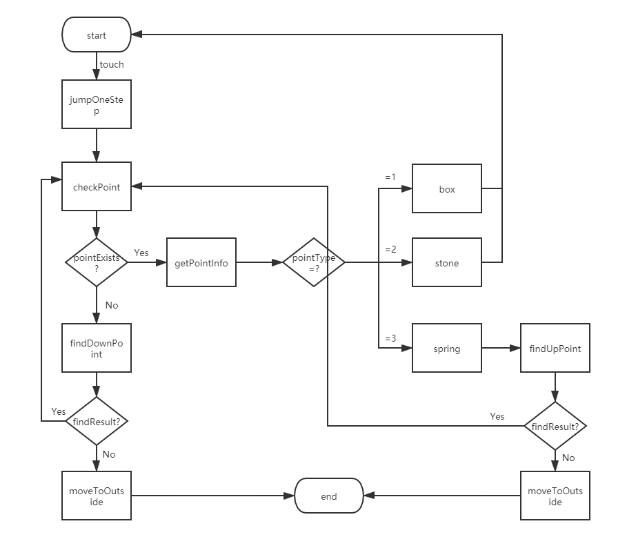
文章最后附上我的小游戏跳跃算法流程图,仅供参考。
