四元数,真是看不懂。求教个问题。
一个刚体已经知道初始角度为Q1, 结束角度为Q2。都是四元数
那么给刚体施加一个角速度为v。让其在t时间内从Q1旋转到Q2。请问这个角速度怎么求教哦
分量,每个方向的角度单独计算,套用加速度公式。
三维空间啊哥,要么你给xyz三根轴的旋转角度 要么你给绕着转动的向量+角度。
其实你不会四元数可以用api转为欧拉角计算就好啦
四元数能掰扯明白的也没有几个人,会用就行吧
大多数人只是会用,,,搞懂的貌似很少吧

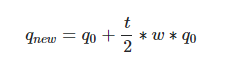
网上找的公式,可能可以这样逆推一下 w
https://gamedev.stackexchange.com/questions/108920/applying-angular-velocity-to-quaternion
一般都是用欧拉转四元数
